


코로나 속에서 지내면서 스트레스 수준이 높아지고 건강염려가 생기고 경제적 피해가 발생하고 사회적으로 고립되고 일상이 바뀐다.
2018년 시행된 설문조사에서 침치료는 미국에서 매우 일반적인 치료이며 불면에 권고되는 우선순위 치료법 10개 중 하나이다
이런 점에서 직업 스트레스와 불안, 기분, 수면장애에 대한 대처법 중에서 이침치료가 관심을 받고 있다. 이침치료는 재난, 감염병 관련 문제를 완화시키는데 효과를 나타냈기에 코로나19에 대처하는 의료진의 수면과 스트레스를 개선하기위해 활용할 수 있다.
목적Objective:
이번 연구는 이침치료가 코로나19와 맞서는 간호사들의 수면의 질을 개선하는지 그 효과를 평가하였다.

방법Method:
대조군이 없는 사전사후 연구로서 2020년5월부터 7월까지 브라질 세아라주Ceará 감염병 병원에서 시행됐다.
이침치료를 받은 26명의 전문간호사(남성도 포함)가 최종적으로 분석에 포함됐다. 간호사들은 중환자실, 응급실, 병동에 근무하였다.
WhatsApp을 통해 초대장이 보내졌고, 참여한 사람에게 참여자명단이 보내졌다.
이침치료는 병원의 적당한 채광과 환기가 되는 방에서 20분간 시행했다. 귀를 소독 후 작은 크리스탈(crystal spheres)을 미리 정해진 9개의 혈위에 부착했다. 혈위는 신문, 신, 교감, 심, 폐, 피질하, 내분비, 포인트제로, 부신이완, 안정혈이었다. (Shen men, Kidney, Sympathetic Autonomic, Heart, Lung, Subcortex, Endocrine, Point zero or Muscle and Adrenal relaxation or tranquilizer.) 크리스탈은 1주일간 유지하였다. 4주간 주1회 총3번 이침치료를 시행했다. |
수면의질 척도로 수면을 평가하였다.1주일간격으로 3번 수면의 질을 평가했다.
1주일동안 부착한 크리스탈이 잘 유지되는지 체크했다.

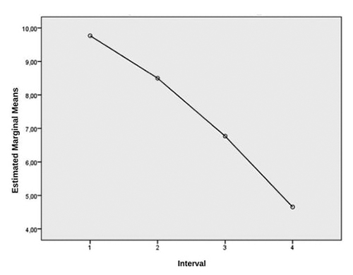
결과Results:
치료전 간호사들의 수면의 질은 수면의 질 척도(PSQI)에서 9.76점(+-2.97)이었다. 전문가들은 5점 이하일때 수면 상태가 좋다고 본다.
수면의 질 척도 총점이 치료 전후 뚜렷하게 개선되었다.
주관적 수면의 질, 잠드는 시간(수면잠복기), 수면시간, 수면효능, 수면장애, 수면제복용, 낮동안 졸림이 뚜렷하게 개선되었다.
(subjective sleep quality (p=0.001); sleep latency (p<0.001), sleep duration (p<0.001), habitual sleep efficiency (p=0.011), sleep disorders (p<0.001), sleeping medications (p=0.005) and excessive daytime sleep sleepiness (p<0.001). )
이침치료는 수면의 질을 52.35% 개선시켰다.
수면제 사용율이 뚜렷하게 줄어들었다.
이침치료는신경전달물질과 호르몬을 조절하여 수면의 질을 개선할 수 있다. 5주간의 이침 치료후 멜라토닌이 뚜렷하게 증가하였고 객관적인 수면검사인 수면다원검사상 수면이 개선되었다. 체계적 문헌고찰에서 15개의 임상연구를 분석한 결과 이침치료는 대조군에 비해 뚜렷하게 수면을 개선시켰다. 또한 부작용 발생율이 수면제 복용군에 비해 뚜렷하게 적었다. 감염병이나 사망자를 경험하는 의료진처럼 군인들도 자주 트라우마 경험을 하게되는데 미국보훈병원의 연구에서 침치료는 일반처치에 비해 수면을 개선할 뿐 아니라 만성통증 발생을 감소시켰다.
치료시간과 관련해서 비만을 가진 대학병원 근무자에게 시행한 연구에서 8번 치료가 수면개선에 효과적이었다. 대만의 갱년기여성 불면증에 대한 이침 연구에서는 신문혈에 단 2주간 치료했다.
이침은 통합되고 보완할 수 있는 치료법으로 코로나19에 대처하는 일선 의료진들의 스트레스관리에 추천될 수 있다. 이침은 경제적이고 안전하기때문에 수면의 질을 개선하고 불면을 예방하는데 충분한 활용성을 가지고 있다.